万花楼qm论坛,栖凤楼茶楼论坛永久地址,全国名媛凤楼,全国楼风信信息app软件
首页
部门概况
部门简介
联系我们
规章制度
教学新闻
教学新闻
典型案例
办事指南
下载专区
信息公开
专业备案
专业自评
实习实训
教学能力
人才培养
课程标准
学校首页
学校首页
教务网络管理系统
首页
部门概况
部门简介
联系我们
规章制度
教学新闻
教学新闻
典型案例
办事指南
下载专区
信息公开
专业备案
专业自评
实习实训
教学能力
人才培养
课程标准
您所在的位置:
首页
-
通知公告
通知公告
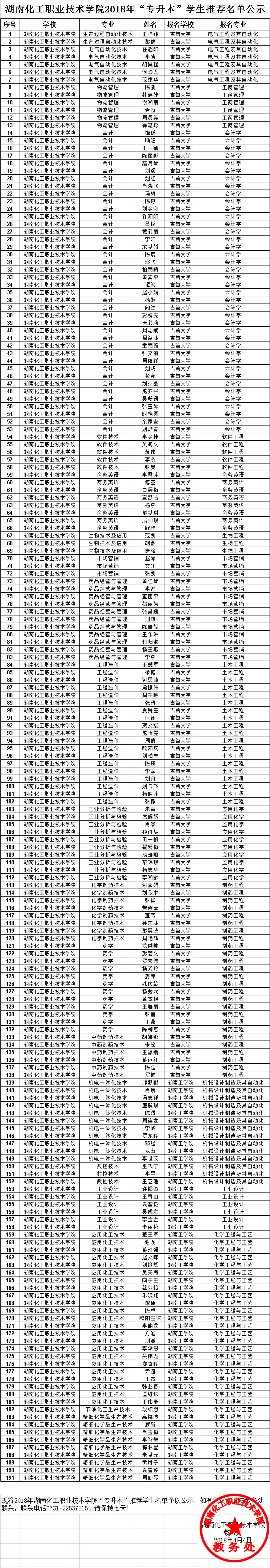
湖南化工职业技术学院2018年“专升本”学生推荐名单公示
日期:2018-04-04
|
点击量: